The DOCUMENT/PROJECT directory contains Galileo Project papers that are relevant some of the data sets on this volume.

  DOCUMENT/PROJECT
         |
         |- [AR_SEF]     This directory contains the S/C
         |               Event Files for the Jupiter Approach and 0 orbits.
         |
         |- [GLL3_180]   contains a project document describing the Galileo
         |               spacecraft and the configuration of instruments on-board
         |
         |- [GLL3_280]   This directory contains part of the
         |               Galileo project document 205 3-280, "Functional
         |               Requirement Galileo Orbiter Telemetry Measurements
         |               and Data Formats".
         |
         |- [GLL3_310]   Contains a portion of the "GLL 3-310 Rev C CDS
         |               Processing in Phase 2" document. (ASCII text or Adobe PDF)
         |
         |- [GLL3_640]   Contains portions of the "Galileo Software
         |               Requirements Data Management System, Data 
         |               ecords/Experiment Data Records Generation/EDR
         |               Validation Subsystem (MDR/EDR/VAL)" document related
         |               to the MAG data sets.
         |
         |- [SEF_SIS]    "625-610 Project Galileo Software Interface
         |               Specification S/C Event File (SEF)" describes
         |               the spacecraft event file.  These data are in 
         |               DATA/AR_SEF. (ASCII text or Adobe PDF) 
         |
         |- [SFDU_DOC]   The document "BETSY WILSON DOC ON GALILEO SFDU'S" is
                         an informal compilation of Standard Formatted Data
                         Unit (SFDU) stuctures.


GLL3_280

Appendix A (Phase 1): ASCII text
PDS label
 
Appendix D (Phase 2): ASCII text
Adobe PDF
PDS label
 
Phase 2 appendix: Adobe PDF
ASCII text: part 1  part 2  part 3  part 4  part 5
 
Phase 2 appendix, table 2.2 Adobe PDF


GLL3_640

Software Requirements: ASCII text
pages in PNG image format title page  
LRS format:   8-1   8-2   8-3   8-3A   8-4   8-5   8-10   8-11  
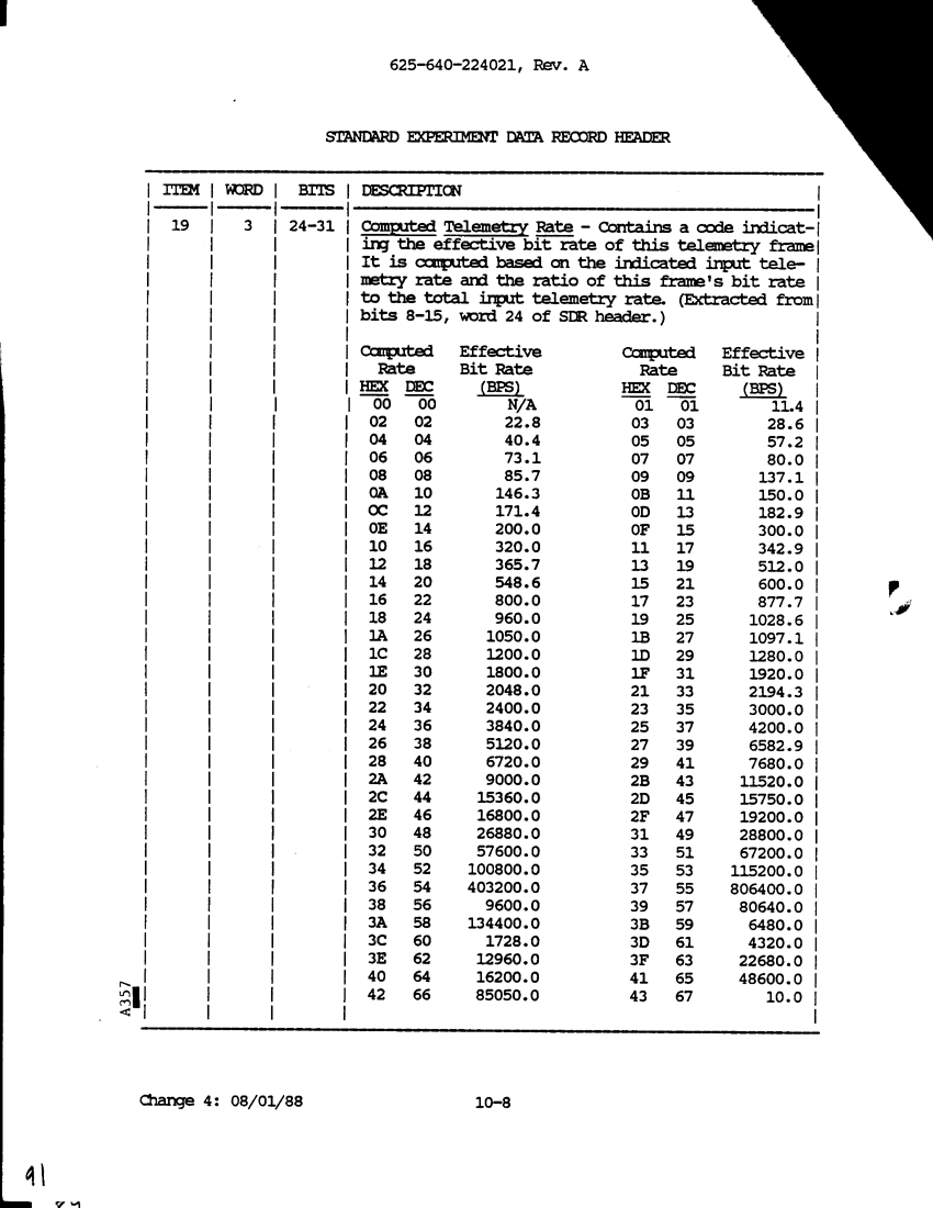
standard record header: 10-1   10-2   10-3   10-4   10-5   10-6   10-7  
  10-8   10-9   10-9A   10-10   10-11   10-12   10-13   10-14   10-15   10-16  


Return to the Document directory

Return to the AAREADME FILE