Galileo Software Requirements Data Management System

Master Data Records/Experiment Data Records Generation/EDR Validation Subsystem

Selected Pages:

PageDescription
Title Page
8-1 8. LRS Subheader and Data Block Format:
8.1 Data Overview
8.2 EDR Processing
8-2
8.3 Standard EDR Subheader
8-3
Figure 8-1: Standard Subheader Format
8-3A
8-4
8.4 AACS Position and Rate Data
8-5
Figure 8-3: AACS Data Block Format
8-10
8.7 Magnetometer Subsystem (MAG) Experiment
8-11
Figure 8-9: MAG Data Block Format
10-1 10. Standard Record Header
10.1 OVerview
10-2
Figure 10-1: EDR Header Format
10-3
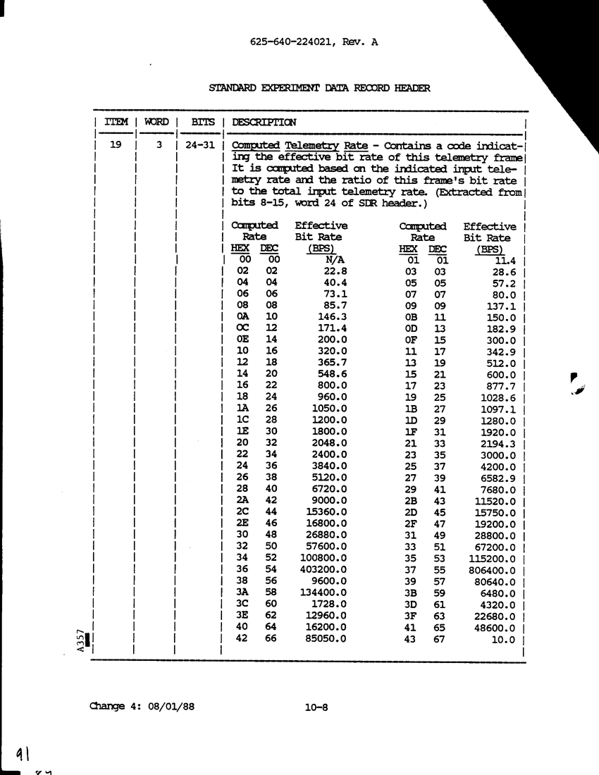
Standard Experiment Data Record Header
10-4
10-5
10-6
10-7
10-8
10-9
10-9A
10-10
10-11
10-12
10-13
10-14
10-15
10-16